2024年9月1日,台湾中国国民党前主席吴伯雄先生应平潭圆通澄澥寺住持释正升法师的诚挚邀请,向澄澥寺赠送亲手书写的两幅墨宝,以此纪念澄澥寺大檀越吴英将军建寺370周年。

今年,正升法师以纪念澄澥寺大檀越吴英将军建寺370周年系列活动为契机,通过台湾信众诚挚邀请吴伯雄先生为活动题词。令人随喜赞叹的是,吴伯雄先生欣然应允,以86岁高龄亲笔题写“两岸一家亲 大爱澄澥寺”“吴英将军祠”两幅珍贵书法作品赠予,寄语澄澥寺弘扬两岸一家亲之大爱,褒扬吴英将军建寺祈愿两岸和平之精神。
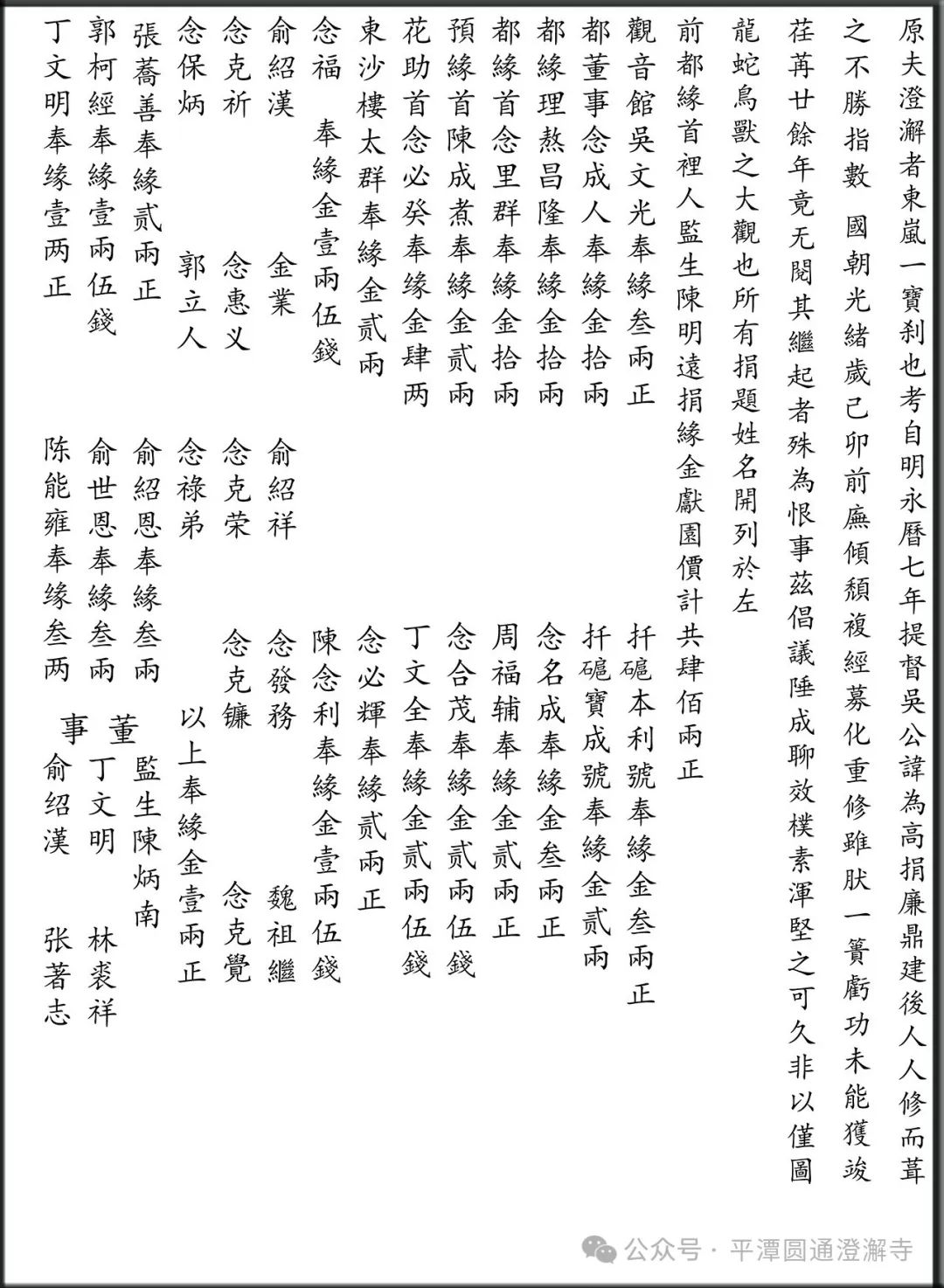
据澄澥寺碑文记载以及学者考证,澄澥寺捐俸始建者——吴为高即为辅佐施琅平定台湾的副将吴英将军,后任福建水师提督(1696-1712),在平潭驻防期间(1653年)捐建澄澥寺。2022年12月,福建省文物鉴定专家、省文物局原局长郑国珍现场考察,他根据碑刻内容,并结合历史资料考证,认定筹资捐资倡建澄澥寺的正是吴为高,即吴英。碑文开头云:“原夫澄澥者,东岚一宝刹也。考自明永历七年,提督吴公讳为高捐廉鼎建。后人人修而葺之,不胜指数。国朝光绪岁己卯,前庑倾颓,复经募化重修。虽然,一篑亏功,未能获竣,荏苒廿余年,竟无阅其继起者,殊为恨事。兹倡议陲成,聊效朴素浑坚之可久,非以仅图龙蛇鸟兽之大观也。所有捐题姓名,开列于左……”。

(原碑文)

(辨析碑文)
(撰文:觉岚)
2024年9月1日
平潭圆通澄澥寺